注:
目前,此功能仅在 Map Viewer 经典版中受支持。 该功能将在新 Map Viewer 的未来版本中提供。
范围内汇总工具可计算输入图层位于边界图层内或与之重叠区域的统计数据。 您执行范围内汇总的区域可以是面图层、六边形图格或方形图格。
工作流示意图

使用 GeoAnalytics Tools 进行的分析
通过跨多个 GeoScene GeoAnalytics Server 计算机和核心组件的分布式处理来运行使用 GeoAnalytics Tools 进行的分析。GeoAnalytics Tools 和 GeoScene Enterprise 中标准要素分析工具的参数和功能不同。要了解有关这些差别的详细信息,请参阅要素分析工具差别。
示例
为高效完成例行维护项目,城市将使用范围内汇总计算各维护评估地区内的街灯数量并得出自行车车道的总英里数。 然后即可据其估算出各地区完成该项工作所需的材料和人员情况。
一家有线电视提供商即将启动一项试点工程,该工程可使收入较低的社区大学的学生以较低的成本访问互联网。 范围内汇总可用于确定各学区内低收入家庭的数量,以便有线电视提供商可以选择合适的地区来实施其试点工程。
开发公司希望为某县城区中心打造新型综合性开发项目。 在各城市中,均可使用范围内汇总计算方便到达商店、饭店或轻轨的潜在开发位置的方形区域。 这样可以简化地点选择流程。
用法说明
范围内汇总的输入必须为两个图层。 第一个图层,汇总区域,是用作汇总第二个图层的边界的区域。 它可以由您指定的区域图层或方形或六边形图格组成。 指定的第二个图层,汇总的图层是要汇总的点、线或面图层。
了解有关 GeoAnalytics Tools 支持的数据类型的详细信息
根据图层中要汇总的要素类型,系统将显示点数、总长度或总面积复选框。 这些复选框默认处于选中状态,且只有正在计算统计数据时才可取消选中。 默认距离测量值将取决于配置文件的单位。
| 总计 | 输入要素 | 默认值 | 选项 |
|---|---|---|---|
点计数 | 点 | 无 | 无 |
总长度 | 线 | 英里(美国标准设置)或千米(公制设置) |
|
总面积 | 面 | 平方英里(美国标准设置)或平方千米(公制设置) |
|
您可以选择性地计算标准统计数据。 假设输入字段包含比率类型数量,计算所有统计数据。 例如,计算会将值 30 视为百分比值而不是总和。 对于线和面,要计算所有的加权统计数据。 将标准汇总字段统计数据和加权汇总字段统计数据同时应用到汇总图层与汇总区域图层相交的要素数据中。 加权汇总字段统计数据乘以基于汇总区域与汇总图层各要素相交比例的权重。
对于标准统计数据,有八个选项:计数、总和、平均值、最小值、最大值、范围、标准差和方差。 字符串统计数据有两个选项:计数和任意。 有八个可根据待汇总图层中数值字段进行计算的加权统计数据:计数、总和、平均值、最小值、最大值、范围、标准差和方差。 加权统计数据不用于字符串数据的计算。
每次指定字段值和统计数据值时,工具窗格都将添加一行以便可以计算多个统计数据。 您可以在结果图层的表或弹出窗口中查看汇总结果。 默认情况下,始终计算与汇总区域相交的要素计数。
或者,也可以选择分组依据字段,以便分别为每个唯一属性值计算统计数据。 选择分组依据字段后,系统还将创建汇总表,根据分组依据字段值列出每个要素和统计数据。
选择分组依据字段时,系统将选中添加少数、多数和添加百分比复选框。 少数和多数分别是分组依据字段中所占比例最小和最大的值,其中所占比例将通过每个值的点数、总长度或总面积来确定。
当选中添加少数、多数复选框时,将有两个字段添加到结果图层。 这些字段将列出分组依据字段中各结果要素的少数值和多数值。
当选中添加百分比复选框时,结果图层中将添加两个字段,列出属于各要素少数值和多数值的点数、总长度或总面积的百分比。 百分比字段也将添加到结果表中,列出点数、总长度或总面积(属于分组依据字段中各要素的所有值)的百分比。
当在标准统计数据和加权统计数据之间进行选择时,考虑您所要计算的统计数据和数据所代表的内容十分重要。 例如,您可能希望将加权统计数据用于计数和数量,并将标准统计数据用于比率和指数。
如果选中使用当前地图范围,则仅分析当前地图范围内可见的输入图层和待汇总图层中的要素。 如果未选中,则会对输入图层和待汇总图层内的所有要素进行分析,包括超出当前地图范围的要素。
使用带有指定地理坐标系的图格(六边形或正方形)的 GeoAnalytics Tools 分析会自动使用基于数据范围的投影坐标系。要了解有关设置坐标系进行分析的详细信息,请参阅在 Map Viewer 中使用 GeoAnalytics 工具的分析环境。
使用测地线距离进行统计计算。
局限性
结果中仅包含与汇总图层中至少一个要素相交的汇总区域。
范围内汇总工作原理
以下描述了工具的工作原理:
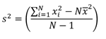
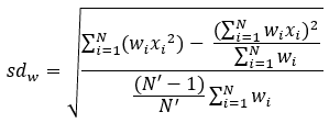
等式
对于经汇总的线和面要素,加权统计数据将整合汇总区域权重。 点要素的统计数据不进行加权。 下表显示了用于计算方差、加权平均数和加权标准差的等式。
| 统计数据 | 等式 | 变量 | 要素 |
|---|---|---|---|
方差 | ![]() | ![]() | 点 |
加权平均数 | ![]() |
权重是作为汇总区域内要素的百分比进行计算的。 | 线与面 |
加权标准差 | ![]() |
权重是作为汇总区域内要素的百分比进行计算的。 | 线与面 |
点
点图层仅使用汇总区域内的点要素进行汇总。 汇总点时无法应用加权统计数据。
以下图表解释了假设区域内点汇总图层的统计计算过程。 Population 字段用于计算图层的统计数据(计数、总和、最小值、最大值、范围、平均值、标准差和方差)。

| 数值统计数据 | 结果区 A |
|---|---|
计数 | 计数: |
总和 | |
最小值 | 最小值: |
最大值 | 最大值: |
范围 | |
平均值 | |
方差 | ![]() |
标准差 | ![]() |
| 字符串统计数据 | 结果区 A |
|---|---|
计数 | |
任何 | = 中学 |
注:
计数统计数据(针对字符串和数值字段)用于计算非空值的数量。 例如,[0, 1, 10, 5, null, 6] 的计数为 5. [Primary, Primary, Secondary, null] 的计数为 3。
在现实场景中,可使用此分析确定每个学区中学生的总数。 每个点表示一所学校。 Type 字段给出了学校类型(小学、中学或高中),学生人数字段给出了每所学校招收的学生人数。 上表给出了针对区域 A 的运算和结果。 从结果中,您可以看到区域 A 中有 2568 名学生。 运行范围内汇总工具时,也会给出区域 B 的结果。
线
对于加权统计数据,线图层仅使用汇总区域内线要素的比例进行汇总。 标准(非加权)统计数据将汇总一切与汇总区域相交的线。 当使用加权统计数据汇总线时,请使用计数和数量(而非比率或指数),这样分析中的比例计算才能符合逻辑。
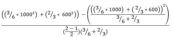
以下图表解释了假设汇总区域内线汇总图层的统计计算过程。 Volume 字段用于计算图层的统计数据(计数、总和、最小值、最大值、范围、平均值、标准差和方差)。 标准统计数据使用与边界相交的线进行计算,而加权统计数据使用汇总区域内线的比例进行计算。

| 数值统计数据 | 标准统计数据 | 加权统计数据 |
|---|---|---|
正在计算权重 | 不适用 | 褐色线权重(值 = 600): 蓝色线权重(值 = 1000): |
计数 | 计数: | 计数: |
总和 | | |
最小值 | 最小值: | 最小值: |
最大值 | 最大值: | 最大值: |
范围 | | |
平均值 | | |
方差 | ![]() | ![]() |
标准差 | ![]() | ![]() |
在现实场景中,可使用此分析确定州立公园边界范围内河流的总水量。 每条线表示一条部分位于公园内的河。 从结果中可以看到在公园内有 5 英里长的河,河水总量为 900 个单位。
面
面图层仅使用输入边界内面要素的比例进行汇总。 请使用含有绝对数值的字段对面进行汇总,这样分析中的比例计算才能符合逻辑。 结果图层将使用分级色彩进行显示。
汇总面图层的加权统计数据基于汇总图层内的汇总区域要素。 当汇总面时,使用计数或数量(而非比率或指数),这样分析中的比例计算才能符合逻辑。
以下图表解释了假设汇总区域内面图层的统计计算过程。 人口字段用于计算图层的统计数据(计数、总和、最小值、最大值、范围、平均值、标准差和方差)。 标准统计数据使用与汇总区域相交的面进行计算,而加权统计数据使用基于各汇总图层内所含的汇总区域部分的比例权重进行计算。

| 数值统计数据 | 标准统计数据:结果邻域 1 | 加权统计数据:结果邻域 1 |
|---|---|---|
正在计算权重 | 黄色区域权重(值 = 3200): 绿色区域权重(值 = 4700): 粉色区域权重(值 = 1000): 蓝色区域权重(值 = 4500): 橙色区域权重(值 = 3600): | |
计数 | 计数: | 计数: |
总和 | | |
最小值 | 最小值: | 最小值: |
最大值 | 最大值: | 最大值: |
范围 | | |
平均值 | | |
方差 | ![]() | ![]() |
标准差 | ![]() | ![]() |
GeoScene API for Python 示例
可通过 GeoScene API for Python 获取范围内汇总工具。
本示例可计算每个城区内自行车道的距离和平均坡度。# Import the required GeoScene API for Python modules
import geoscene
from geoscene.gis import GIS
from geoscene.geoanalytics import summarize_data
# Connect to your GeoScene Enterprise portal and confirm that GeoAnalytics is supported
portal = GIS("https://myportal.domain.com/portal", "gis_publisher", "my_password", verify_cert=False)
if not portal.geoanalytics.is_supported():
print("Quitting, GeoAnalytics is not supported")
exit(1)
# Find the big data file share dataset you'll use for analysis
search_result = portal.content.search("", "Big Data File Share")
# Look through the search results for a big data file share with the matching name
bdfs_search = next(x for x in search_result if x.title == "bigDataFileShares_CityData")
# Look through the big data file share for BikeLanes
bike_lanes = next(x for x in bdfs_search.layers if x.properties.name == "BikeLanes")
# Look through the big data file share for districts
districts = next(x for x in bdfs_search.layers if x.properties.name == "districts")
weighted_summary_fields = [{"statisticType" : "Average","onStatisticField" : "Slope"}]
# Run the Summarize Within tool
summarize_within_result = summarize_data.summarize_within(summary_polygons = districts,
summarized_layer = bike_lanes,
weighted_summary_fields = weighted_summary_fields,
output_name = "summary_of_bike_lanes")
# Visualize the tool results if you are running Python in a Jupyter Notebook
processed_map = portal.map('Your City, State', 10)
processed_map.add_layer(summarize_within_result)
processed_map
类似工具
使用范围内汇总可计算与边界图层重叠的要素的统计数据。 其他工具或许在解决略有差异的类似问题时十分有用。
Map Viewer 经典版 分析工具
如果要尝试汇总点并希望应用时间步长,请使用聚合点工具。
GeoScene Pro 分析工具
此 GeoAnalytics Tools 在 GeoScene Pro 中可用。















